| Estado de Disponibilidad: | |
|---|---|
El compuesto de GA se desarrolla para los usuarios que más exigen las condiciones de sacarificación pueden lograr un valor de DX expectante rápidamente. El compuesto GA se mezcla con glucoamilasa y pullulanasa por proporción adecuada. La glucoamilasa de alta actividad se deriva de Aspergillus niger que puede hidrolizar los enlaces α-1,4-glucosídicos rápidamente. También tiene la capacidad, de manera, para hidrolizar enlaces α-1,6-glucosídicos. La pullulanasa con alta estabilidad de pH y alto calor se deriva de un Bacillus subtilis genéticamente modificado, que puede hidrolizar eficientemente enlaces α-1,6-glucosídicos para producir dextrina de cadena recta rápidamente. Ambos dos tipos de eficientes pueden convertir coordinadamente el almidón en glucosa.


Características
Actividad de glucoamilasa | ≥ 150000bgu/g |
Actividad de pululanasa | ≥ 2000 BPU/g |
Apariencia | Líquido marrón |
ph | 4.0 - 4.5 |
Densidad | 1.10-1.20 g/ml |
El compuesto de GA proporciona los siguientes beneficios:
◇ El valor DX de la sacarificación no sería inferior al 96.5%.
◇ Estabilidad de pH amplia, flexibilidad en el control de procesos.
◇ La sacarificación se puede procesar a mayor temperatura y concentraciones de sustancias más secas.
◇ Velocidad de reacción inversa más baja.
Aplicaciones
El compuesto GA convierte al almidón licuado o dextrina en glucosa de alta pureza a través del efecto sinérgico de la glucoamilasa y la pullulanasa. El efecto de aplicación depende de la temperatura de procesamiento, el pH, el tiempo y la cantidad de sustrato seco, etc. El pH más óptimo de los dos componentes clave coincide perfectamente a pH 4.3-4.5, dentro de este alcance, la sacarificación puede obtener los resultados óptimos (que se muestran en la Figura 1).
Condiciones de aplicación típicas | |
Licuefacción de | 13 - 18 |
Sólidos secos | 28 - 35% |
Temperatura de sacarificación | 58 - 64 ℃ |
PH de sacarificación | 4.0 – 4.8 |
Tiempo de sacarificación | 32 - 48 h |
0.35 - 0.60 kg/TDs |

Fig. 1 Las curvas de caracteres de pH de los dos componentes clave de Highdex Ultra 3.0
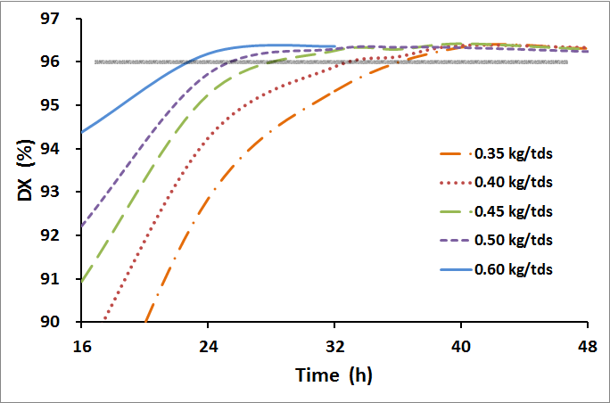
La dosis del compuesto GA depende de las condiciones del proceso y el rendimiento de la glucosa. En la mayoría de los casos, la dosis normal es de 0.35-0.60 kg/TDS (TDS: por tonelada de sustancia seca), y la dosis de 0.45 kg/TDS logrará resultados muy ideales. Además, el aumento de la dosis enzimática puede acortar eficientemente el tiempo de proceso de la sacarificación (que se muestra en la Figura 2).
El compuesto de GA se adapta a una alta concentración de sustrato seco debido a una mejor actividad de glucoamilasa y pululanasa. Incluso para la concentración de DS tan alta como 32% - 34%, aún podría hacer que el valor de DX sea superior al 96% dentro de las 32 h (que se muestra en la Figura 3).

Gráfico de aplicación Fig. 2 - Diferencia de enzimas diferentes
(Condiciones: almidón licuado, DE 13.5, DS 31%, 60 ℃, pH 4.3)

Gráfico de aplicación Fig. 3 : diferentes sustratos secos
(Condiciones: almidón licuado, de 13.5, 0.5 kg/tds, 60 ℃, pH 4.3)
Estándares/Provisión de cumplimiento
GB 8276-2006
Estabilidad de almacenamiento
Se recomienda que el compuesto de GA se almacene en el cubo original por debajo de 20 ℃, evite ser expuesto directamente a la luz solar. Refrigerado por debajo de 5 ℃ obviamente puede extender la vida útil.
Embalaje
El compuesto de GA está en tambor de plástico de 28 kg.
Manejo de seguridad
La enzima pertenece a algún tipo de proteína, para algunas personas puede ser sensibilizada. Se debe evitar la inhalación del polvo enzimático y las nieblas. Use ropa de trabajo, guantes, gafas protectores durante la operación para evitar el polvo de la enzima y las nieblas. En caso de contacto con la piel o los ojos, enjuague rápidamente con agua durante al menos 15 minutos. Para obtener información detallada de manejo seguro, solicite BestZyme para la hoja de datos de seguridad del material.
Etiquetas calientes: glucoamilasa compuesta, líquido compuesto de glucoamilasa, enzima de glucosa, polvo compuesto de glucoamilasa, glucoamilasa compuesta de alta calidad, glucoamilasa compuesta de líquido, porcelana, compra, personalizado, fabricantes, precios, proveedores